What is the Erfc function in golang?

The Erfc function

The Go programming language uses the Erfc function to find the complementary error function of a certain decimal number.

To use this function, you must import the math package in your file and access the Erfc function within it using the . notation (math.Erfc). Here, Erfc is the actual function, while math is the Go package that stores the definition of this function.

The complementary error function

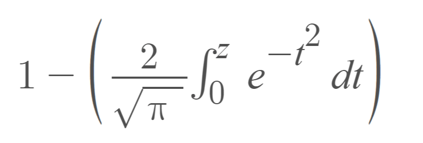
The complementary error function is a sigmoid function used in probability, statistics, and partial differential equations. It equals the error function subtracted from 1 (1 - erf(x)). It is represented using erfc(x), and the following formula defines it:

widget

Function definition

The definition of the Erfc function inside the math package is:

Parameters

Erfc function takes a single argument of type float64. This argument represents the decimal number whose complementary error function you want to find.

Return value

The Erfc function returns a single value of type float64. This value represents the complementary error function for a particular input argument.

Following are two types of return values only used by the function under certain circumstances:

  • NAN: Not a number or NAN is returned in all cases where the input argument is of undefined value.

  • 0: The Erfc function returns 0 if the input argument has a value equalling positive infinity.

  • 2: The Erfc function returns 2 if the input argument has a value equalling negative infinity.

Giving an empty argument or an argument that is not a numeric value results in an error.

Examples

Following is a simple example where we find out the complementary error function of a positive decimal value:

package main
import ("fmt"
"math")
func main() {
x := 0.8
y := math.Erfc(x)
fmt.Print("The complementary error function of ", x, " is ", y)
}

The following example shows how the Erfc function deals with arguments of infinite value:

package main
import ("fmt"
"math")
func main() {
zero := 0.0
// -1/zeoro is a negatively infinite value
y := math.Erfc(-1/zero)
fmt.Print("The complementary error function of -Inf is ", y)
fmt.Print("\n")
// 1/zeoro is a positively infinite value
x := math.Erfc(1/zero)
fmt.Print("The complementary error function of +Inf is ", x)
}

Free Resources

Copyright ©2026 Educative, Inc. All rights reserved